Riemann Hipotezi:

1859 yılında Bernhard Riemann tarafından ortaya atılan bu hipotez, asal sayıların dağılımı ile ilgilidir. Bu karmaşık problemin doğru olduğunu ispatlayan kişi, tam 1 milyon dolar kazanacak. Riemann Hipotezi, asal sayıların gizemini çözüp matematik dünyasında bir efsane olmanızı sağlayabilir.

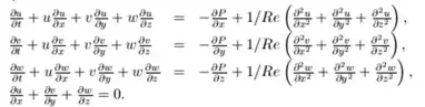
Navier-Stokes Denklemleri

Claude-Louis Navier ve George Stokes tarafından 1822’de geliştirilen bu denklemler, sıvıların ve gazların nasıl hareket ettiğini tanımlar. Ancak, üç boyutlu versiyonları henüz çözülemedi! Akışkanların bu karmaşık dansını çözen kişi yine 1 milyon dolar kazanacak ve bilim dünyasında büyük bir yankı uyandıracak!

P=NP Problemi

1971’de Stephen Cook tarafından ortaya atılan bu problem, bilgisayar biliminin en büyük gizemlerinden biri. Problemin çözümü, yapay zekadan kriptografiye kadar birçok alanda devrim yaratabilir. Peki, bu çözümü bulan kişi siz olabilir misiniz? Ödül yine 1 milyon dolar!

Collatz Varsayımı

Lothar Collatz tarafından 1937’de ortaya atılan bu varsayım, herhangi bir pozitif tam sayının belirli bir işlemle 1’e indirgenip indirgenemeyeceğini sorgular. Her ne kadar basit görünse de, bu varsayım henüz kanıtlanamamıştır ve matematikçilerin kafasını karıştırmaya devam ediyor.

Goldbach Varsayımı

1742’de Christian Goldbach tarafından ortaya atılan bu varsayım, her çift tam sayının iki asal sayının toplamı olarak yazılabileceğini belirtir. Büyük sayılar için doğrulanmış olsa da, tam anlamıyla kanıtlanmamıştır. Eğer asal sayılarla oyun oynamayı seviyorsanız, bu varsayımı çözmek tam size göre olabilir!

ABC Varsayımı

1985’te Joseph Oesterlé ve David Masser tarafından ortaya atılan bu varsayım, a + b = c denkleminin, bu sayıların asal çarpanlarının sayısıyla ilgili bir ilişkiyi belirtir. Bu matematiksel bilmecenin çözümü de henüz bulunamamıştır.Kim bilir belki de çözüme kavuşturacak kişi siz olabilirsiniz!

Editör Hakkında